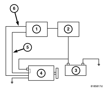
OPERATION - CHARGING SYSTEM




1 - Controller
 
2 - Power Distribution Center
 
3 - Battery
 
4 - Generator
 
5 - Feed Back Circuit
 
6 - Control Circuit
 

The charging system is turned on and off with the ignition switch. This voltage is connected through the PCM and supplied to one of the generator field terminals (Gen. Source +) at the back of the generator. The alternator is internally grounded. The generator regulates the field using Pin 1 of the field connector (High side driver).

The generator is driven by the engine through a serpentine belt and pulley or decoupler pulley arrangement.

The PCM receives a voltage input from the alternator and also a battery voltage input from the TIPM, it then compares the voltages and if there is a difference it send a signal to the alternator EVR circuit to increase or decrease output. It uses a pulse width modulation (PWM) to send signals to the alternator circuitry to control the amount of output from the alternator. The amount of DC current produced by the generator is controlled by the EVR (electronic voltage regulator) circuitry contained within the alternator.

All vehicles are equipped with On-Board Diagnostics (OBD). All OBD-sensed systems, including EVR (electronic voltage regulator) circuitry, are monitored by the PCM. Each monitored circuit is assigned a Diagnostic Trouble Code (DTC). The PCM will store a DTC in electronic memory for certain failures it detects.

The Check Gauges Lamp (if equipped) monitors: charging system voltage, engine coolant temperature and engine oil pressure. If an extreme condition is indicated, the lamp will be illuminated. This is done as reminder to check the three gauges. The lamp is located on the instrument panel. Refer to the Instrument Cluster section for additional information.

Voltage is monitored at B+ stud to insure the cable is connected. If cable is loose PCM will shut down generator field. Because of this new feature, pin 2 of the field connector is internally connected to the B+.

The diesel generator is internally regulated. The generator and PCM communicate for diagnostics, etc. If the generator regulator becomes disconnected from the PCM it will operate, but in a default mode.